Superharmonic Instability

Originally found by:
Longuet-Higgins (1978)
Longuet-Higgins & Cokelet (1978)
using the numerical method of Longuet-Higgins & Cokelet (1976)

Later confirmed and extended by:
Tanaka (1983, 1985)
Tanaka, Dold, Lewy & Peregrine (1987)

Effects of viscosity and surface tension:
Mansar, Turner, Bridges & Dias (2025)

The geometric viewpoint

  • To compute the shape of the wave
  • Explicit interface representation
  • Lagrangian advection
  • Fails as the splash singularity occurs

The phenomenological viewpoint

  • To compute the energy dissipation
  • Implicit interface representation
  • Eulerian advection
  • Mostly two-fluids studies

On the vanishing viscosity limit up to the splash

\[\mathrm{Re} \to +\infty \]

  1. A numerical method for the free-surface Navier-Stokes equations
    • Finite Element method
    • Arbitrary Lagrangian-Eulerian advection

  2. Boundary layers in Water Waves
    • The free-surface boundary layer
    • Vorticity separation from the bed

Euler (+ irrotationality)

Non-dimensional quantities: \[ \begin{align} \boldsymbol{x} & \to h_0 \boldsymbol{x} \\ \boldsymbol{u} & \to \sqrt{gh_0} \boldsymbol{u} \\ p & \to \rho g h_0 p \\ \end{align} \] yielding the following Reynolds number, \[ \mathrm{Re} = \frac{h_0 \sqrt{gh_0}}{\nu} \]

Incompressible, non-dimensional Navier-Stokes equations in \(\Omega(t)\) \[ \begin{align} \partial_t \boldsymbol{u} + \boldsymbol{u} \cdot \boldsymbol{\nabla} \boldsymbol{u} &= - \boldsymbol{\nabla}p + \frac{1}{\mathrm{Re}}\, \Delta \boldsymbol{u} + \boldsymbol{g} \\ \boldsymbol{\nabla} \cdot \boldsymbol{u} &= 0 \end{align} \]

Stress-free boundary condition on the free surface \[ \begin{align} p \hat{\boldsymbol{n}} - \frac{1}{\mathrm{Re}} \, \Big[ \boldsymbol{\nabla} \boldsymbol{u} + \big(\boldsymbol{\nabla}\boldsymbol{u}\big)^{\top} \Big] \, \hat{\boldsymbol{n}} &= 0 && \text{on } \Gamma_i(t) \end{align} \] Navier boundary condition on the bottom topography \(\Gamma_b = \{z = 0\}\) \[ \begin{align} \hat{\boldsymbol{\tau}}\,\Big[\boldsymbol{\nabla} \boldsymbol{u} + \big(\boldsymbol{\nabla}\boldsymbol{u}\big)^{\top}\Big] \, \hat{\boldsymbol{n}} &= 0 & u_z &= 0 \end{align} \]

We use the first order (in \(a\)) solution (i.e. a linear wave) of amplitude \(a = 0.5\), \[ \boldsymbol{\gamma}(t=0,s) = \begin{bmatrix} s \\ h_0 + a \cos(kx) \end{bmatrix}\qquad\text{and}\qquad \boldsymbol{u}_0(x,z) = \frac{a\omega}{\sinh(kh_0)} \begin{bmatrix} \cosh(k\style{color: #42affa;}{h_0}) \cos(kx) \\ \sinh(k\style{color: #42affa;}{h_0}) \sin(kx) \end{bmatrix} \] Then we solve numerically the following elliptic problem,

At last, the initial velocity is computed as \( \boldsymbol{u}(t = 0) = \boldsymbol{\nabla} \phi_0 \)

We represent the free surface as a parametrised curve \( \boldsymbol{\gamma}(t,s) \) whose points are advected in a Lagrangian manner, \[ \partial_t \boldsymbol{\gamma}(t,s) = \boldsymbol{u}\big( t, \boldsymbol{x} = \boldsymbol{\gamma}(t,s) \big) \]

We use the FreeFEM library Hecht (2012) to

  • generate and handle the mesh
  • build and handle the matrices
  • use the PETSc methods easily

Figure - The mesh generated from the initial free surface (\(\approx 200\,000\) triangles).

We look for a velocity \( \boldsymbol{u} \) in the function space \[ \mathbf{H}^1_{\Gamma_b} = \Big\{ \boldsymbol{v} \text{ is differentiable once & such that } \boldsymbol{v} \cdot \hat{\boldsymbol{n}} = 0 \text{ on } \Gamma_b \Big\} \] Note that the incompressibility is not assumed in the function space.

Find \( (\boldsymbol{u}, p) \) such that, \[ \int_{\Omega(t)} \boldsymbol{v} \cdot \partial_t \boldsymbol{u} + \boldsymbol{v} \cdot \big( \boldsymbol{u} \cdot \boldsymbol{\nabla} \boldsymbol{u} \big) + \frac{2}{\mathrm{Re}}\, \mathsf{S}(\boldsymbol{v}):\mathsf{S}(\boldsymbol{u}) - p \boldsymbol{\nabla}\cdot\boldsymbol{v} + q \boldsymbol{\nabla}\cdot\boldsymbol{u} - \boldsymbol{v} \cdot \boldsymbol{g} = 0 \] for all \( (\boldsymbol{v}, q) \) and at all time \(t\in(0,T)\).

We look for a velocity \( \boldsymbol{u} \) in the function space \[ \mathbf{H}^1_{\Gamma_b} = \Big\{ \boldsymbol{v} \text{ is differentiable once & such that } \boldsymbol{v} \cdot \hat{\boldsymbol{n}} = 0 \text{ on } \Gamma_b \Big\} \] Note that the incompressibility is not assumed in the function space.

Find \( (\boldsymbol{u}, p) \) such that, \[ \int_{\Omega(t)} \boldsymbol{v} \cdot \partial_t \boldsymbol{u} + \boldsymbol{v} \cdot \big( \boldsymbol{u} \cdot \boldsymbol{\nabla} \boldsymbol{u} \big) + \frac{2}{\mathrm{Re}}\, \mathsf{S}(\boldsymbol{v}):\mathsf{S}(\boldsymbol{u}) - p \boldsymbol{\nabla}\cdot\boldsymbol{v} + q \boldsymbol{\nabla}\cdot\boldsymbol{u} - \boldsymbol{v} \cdot \boldsymbol{g} = \frac{1}{\mathrm{Bo}} \int_{\Gamma_i(t)} \kappa \boldsymbol{v} \cdot \hat{\boldsymbol{n}} \] for all \( (\boldsymbol{v}, q) \) and at all time \(t\in(0,T)\).

The Arbitrary Lagrangian-Eulerian Method (ALE)

Hirt, Amsden & Cook (1974)

In our case, we compute the mesh's velocity by numerically solving the following elliptic problem at each time step, \[ \left\{ \begin{array}{rcll} \Delta \boldsymbol{w} &=& 0 & \text{in the domain } \Omega(t) \\ \boldsymbol{w} &=& \boldsymbol{u} & \text{on the free surface } \Gamma_i(t) \\ \boldsymbol{w} &=& 0 & \text{on the bottom } \Gamma_b \\ \end{array} \right. \]

We use a backward Euler (implicit) scheme for all terms but the non-linearity, \[ \frac{\boldsymbol{u}^{n+1} - \boldsymbol{u}^{n}}{\delta t} + (\boldsymbol{u}^{n} - \boldsymbol{w}^{n}) \cdot \boldsymbol{\nabla} \boldsymbol{u}^{n+1} = - \boldsymbol{\nabla} p^{n+1} + \frac{1}{\mathrm{Re}}\, \Delta \boldsymbol{u}^{n+1} - \hat{\boldsymbol{z}} \] \[ \boldsymbol{\nabla} \cdot \boldsymbol{u}^{n+1} = 0 \]

Figure - Sample domain decomposition with 6 MPI processes.

Figures - Sample domain decomposition with 6 MPI processes.

The vanishing viscosity limit in water waves up to the splash

\[\mathrm{Re} \to +\infty \]

  1. Numerical method for the free-surface Navier-Stokes system
    • Finite Element method
    • Arbitrary Lagrangian-Eulerian advection

  2. Breaking waves at high Reynolds number
    • Convergence to the inviscid system?
    • Surface boundary layer

Animated Figure (from R. & Dormy (2024)) - Interface evolution for a Reynolds number \(\mathrm{Re} = 10^6\)

Figure - The mesh close to the end of the simulation shown before.

Figures (from R. & Dormy (2024)) - Convergence to the inviscid solution (computed using the numerical method of Dormy & Lacave (2024) )

A local equation for the kinetic energy can be obtained directly from the Navier-Stokes system, \[ \frac{\mathrm{D}}{\mathrm{D}t} \left( \frac{\boldsymbol{u}^2}{2} \right) = \boldsymbol{u} \cdot \boldsymbol{g} - \boldsymbol{u}\cdot \boldsymbol{\nabla} p \style{color: #42affa;}{\ - \frac{1}{\mathrm{Re}}\, \Big[ \boldsymbol{\nabla}\cdot \big( \boldsymbol{u}^{\perp} \omega \big) + \omega^2 \Big]} \] with \( \boldsymbol{u}^{\perp} = [-u_y, u_x] \). The dissipation arises in the support of the vorticity \(\omega\).

Generation of vorticity can be understood in light of the stress-free boundary condition, \[ \begin{align} p \hat{\boldsymbol{n}} - \frac{1}{\mathrm{Re}} \, \Big[ \boldsymbol{\nabla} \boldsymbol{u} + \big(\boldsymbol{\nabla}\boldsymbol{u}\big)^{\top} \Big]\, \hat{\boldsymbol{n}} = 0 \qquad & \Longrightarrow \qquad \hat{\boldsymbol{\tau}} \, \Big[ \boldsymbol{\nabla} \boldsymbol{u} + \big(\boldsymbol{\nabla}\boldsymbol{u}\big)^{\top} \Big]\, \hat{\boldsymbol{n}} = 0 \\ & \Longrightarrow \qquad \omega = 2 \kappa \big( \boldsymbol{u} \cdot \hat{\boldsymbol{\tau}} \big) - 2 \partial_s \big( \boldsymbol{u} \cdot \hat{\boldsymbol{n}} \big) \end{align} \]

Figures (from R. & Dormy (2024)) - The vorticity generated during the \(\mathrm{Re} = 10^3\) simulation.

Figures (from R. & Dormy (2024)) - Close-up on the Boundary Layer at time \(t = 2.9\)

Figure (from R. & Dormy (2024)) - Corresponding vorticity cross section.

Stress-free boundary condition on the free surface \[ \begin{align} p \hat{\boldsymbol{n}} - \frac{1}{\mathrm{Re}} \, \Big[ \boldsymbol{\nabla} \boldsymbol{u} + \big(\boldsymbol{\nabla}\boldsymbol{u}\big)^{\top} \Big] \, \hat{\boldsymbol{n}} &= 0 && \text{on } \Gamma_i(t) \end{align} \] Navier No-slip/Dirichlet boundary condition on the bottom topography \(\Gamma_b\), \[ \boldsymbol{u} = 0\qquad\text{on } \Gamma_b \]

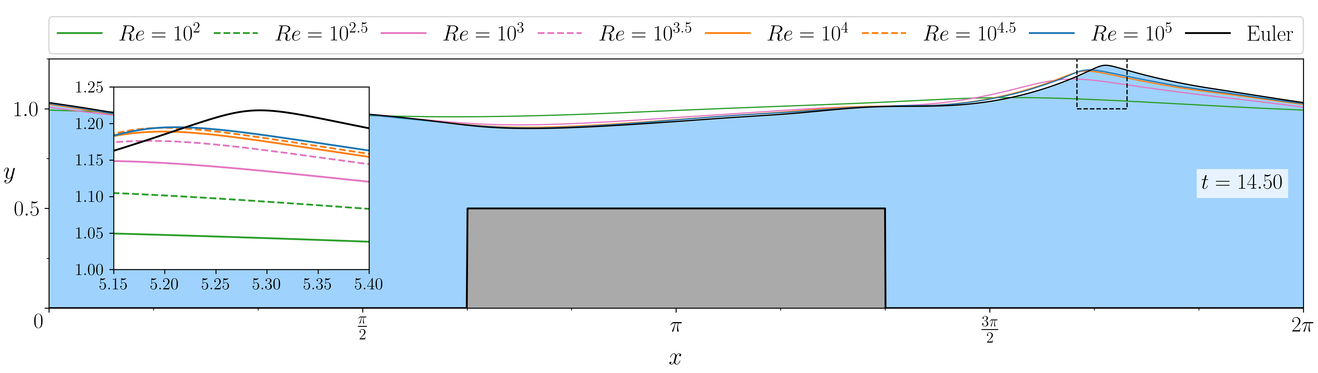
Figure (from R. & Dormy (2025, submitted)) - Comparison of the free surfaces in the case of a water wave propagating over a sharp rectangular step, for different values of Reynolds' number \(\mathrm{Re}\). The "Euler" result has been computed using the numerical method of Dormy & Lacave (2024).

We now use the no-slip/Dirichlet boundary conditions \( \boldsymbol{u} = 0 \) on \(\Gamma_b\)

Animated Figure (from R. & Dormy (2025, submitted)) - Interface evolution for a Reynolds number \(\mathrm{Re} = 10^5\), with a non-breaking water wave propagating over a sharp rectangular step.

Phenomenon already observed by Lin & Huang (2010)

Figures (from R. & Dormy (2025, submitted)) - The vorticity at fixed time \(t = 10\) for \(\mathrm{Re} = 10^{3.5}\), \(10^4\), \(10^{4.5}\) and \(10^5\).

Figure (from R. & Dormy (2025, submitted)) - Streamlines at \(\mathrm{Re} = 10^4\) in the vicinity of the sharp rectangular step's right salient edge.

Let \(\varphi\) be the following bump function, \[ \varphi(x) = \left\{ \begin{array}{cl} \alpha \exp\left( - \frac{1}{1 - x^2} \right) & \text{for } |x| < 1 \\ 0 & \text{for } |x| \geqslant 1 \end{array} \right. \]

Let \(\varepsilon>0\) a given curvature radius. Then from the parametrisation \(\boldsymbol{\gamma}_b(s)\) of the topography \(\Gamma_b\), one can define its corresponding smooted version \(\boldsymbol{\gamma}_{b,\varepsilon}(s)\) as \[ \boldsymbol{\gamma}_{b,\varepsilon}(s) = \int_{-\varepsilon}^{\varepsilon} \boldsymbol{\gamma}_{b}(\tau - s) \cdot \frac{1}{\varepsilon} \varphi \left(\frac{\tau}{\varepsilon}\right)\, \mathrm{d}\tau \]

We now use the no-slip/Dirichlet boundary conditions \( \boldsymbol{u} = 0 \) on \(\Gamma_b\)

Animated Figure (from R. & Dormy (2025, submitted)) - Interface evolution for a Reynolds number \(\mathrm{Re} = 10^5\), with a non-breaking water wave propagating over a smoothed/mollified rectangular step.

Figure (from R. & Dormy (2025, submitted)) - Streamlines at \(\mathrm{Re} = 10^5\) in the vicinity of the smoothed rectangular step with curvature radius \(\varepsilon = 0.1\).

Merci pour votre attention!

Slides created using reveal.js

Drawings & animations created using Manim Community